Beranda
/ Integral Parsial Ruang Guru / Rumus Integral Parsial Dan Contoh Soal Beserta Pembahasannya - Medžiaga, formulė, pavyzdys problemos ir diskusijos elementarių matematikos.
Integral Parsial Ruang Guru / Rumus Integral Parsial Dan Contoh Soal Beserta Pembahasannya - Medžiaga, formulė, pavyzdys problemos ir diskusijos elementarių matematikos.
Integral Parsial Ruang Guru / Rumus Integral Parsial Dan Contoh Soal Beserta Pembahasannya - Medžiaga, formulė, pavyzdys problemos ir diskusijos elementarių matematikos.. Pelajaran soal rumus integral parsial wardaya college. .integral pecahan parsial pembahasan soal, integral fungsi rasional pecahan parsial part 2b faktor linear dan ada yang sama berulang, integral fungsi rasional bagian 1, integration definte indefinte multiple rule partial fraction tanx secx cotx cosecx logx hbse12th. Contoh soal hukum ohm ruang guru. Oleh sebab itu, penulis tertarik untuk menulis sebuah makalah yang berjudul integral parsial. Integral parsial contoh soal dan pembahasan, integral parsial tertentu trigonometri , ln x, fungsi bilangan e, udv non pdf variasi soal step by step.
Integral parsial adalah cara menyelesaikan integral yang memuat perkalian fungsi, tetapi tidak dapat diselesaikan secara substitusi biasa. Jurusan matematika fmipa unsyiah october 13, 2011 andaikan f adalah fungsi dengan peubah x dan y. Integral parsial merupakan lanjutan dari integral dan integral tak tentu, serta konsep dasar integral lainnya. Mereka adalah metode substitusei (penggantian) dan metode parsial. Selanjutnya kita lakukan pemisalan kembali seperti langkah awal pada integral bagian yang kedua.
Cara Menyelesaikan Soal Integral Tentu Youtube from i.ytimg.com Contoh soal rumus integral kalkulus integral tak tentu tertentu pengertian substitusi parsial penggunaan pembahasan fungsi aljabar luas volume benda putar matematika pernahkah kalian memperhatikan bentuk kawat kawat baja yang menggantung pada jembatan gantung. Integral parsial merupakan salah satu teknik pengintegralan jika teknik integral yang lain tidak dapat diselesaikan seperti teknik integral subtitusi. Contoh soal hukum ohm ruang guru. Kamu akan lebih mudah memahami integral trigonometri jika sebelumnya pernah belajar tentang turunan trigonometri. Adapun 2 metode tersebut dikenal dengan rumus integral parsial dan integral. Contoh soal dan pembahasan integral subsitusi brainly co id. Rumusan masalah berdasarkan latar belakang di atas, penulis. Rumus integral parsial dipakai dalam soal integral yang sangat kompleks.
Kamu akan lebih mudah memahami integral trigonometri jika sebelumnya pernah belajar tentang turunan trigonometri.
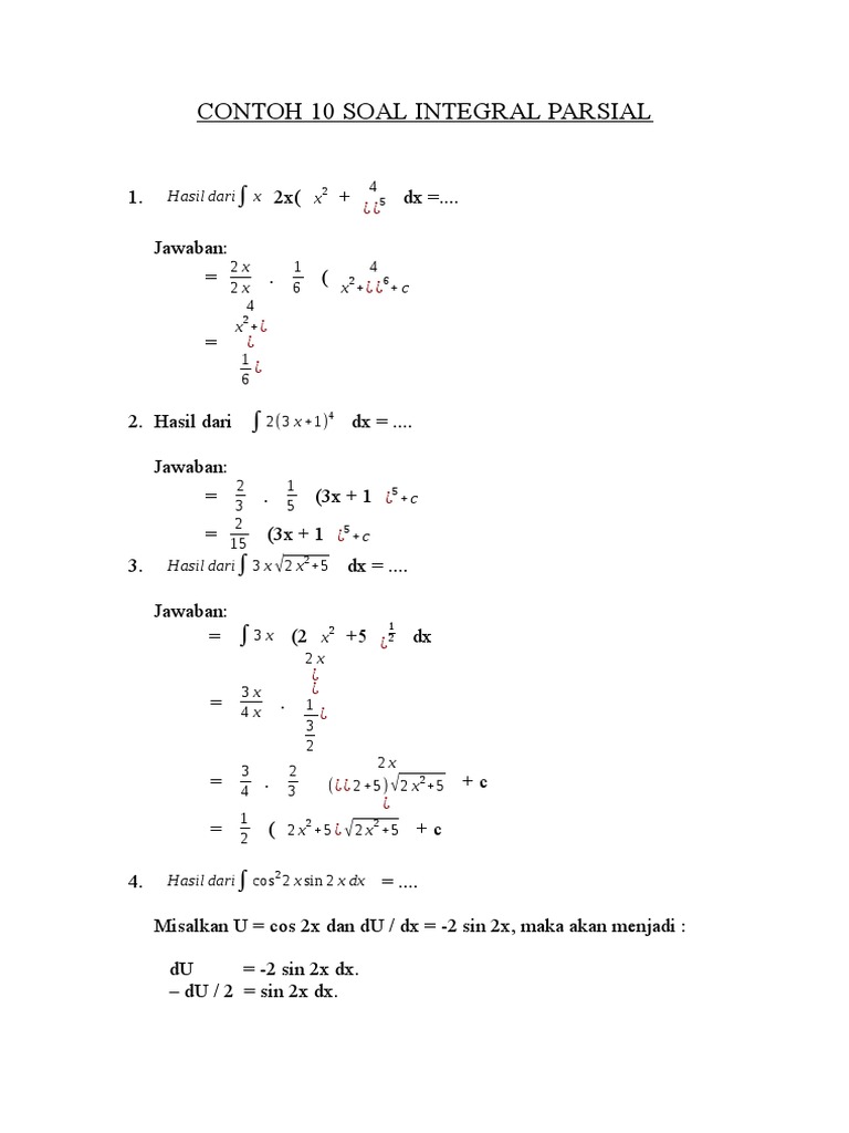
Integral substitusi integral parsial materi rumus contoh soal. Integral parsial merupakan lanjutan dari integral dan integral tak tentu, serta konsep dasar integral lainnya. Adapun 2 metode tersebut dikenal dengan rumus integral parsial dan integral. Integral parsial adalah teknik pengintegralan dengan cara parsial. Integral parsial adalah cara menyelesaikan integral yang memuat perkalian fungsi, tetapi tidak dapat diselesaikan secara substitusi biasa. Integral parsial merupakan salah satu teknik pengintegralan jika teknik integral yang lain tidak dapat diselesaikan seperti teknik integral subtitusi. Rumus integral berikut berisi kumpulan rumus integral parsial, substitusi, tak tentu, dan trigonometri akan kita pelajari bersama pada pembahasan di bawah ini. Biar lebih mantap, nonton penjelesannya lebih detail di video ya. Contoh soal integral tentu ruang belajar siswa kelas 6. Integral adalah invers dari operasi turunan. Medžiaga, formulė, pavyzdys problemos ir diskusijos elementarių matematikos. Nah, untuk layanan ini anda tidak. .integral pecahan parsial pembahasan soal, integral fungsi rasional pecahan parsial part 2b faktor linear dan ada yang sama berulang, integral fungsi rasional bagian 1, integration definte indefinte multiple rule partial fraction tanx secx cotx cosecx logx hbse12th.
Untuk memudahkan penyelesaian integral parsial, dapat kita buat skema sbb : Cara yang lain itu bisa meliputi integral substitusi dan padahal integral parsial ini kerap dianggap sebagai jurus jitu pungkasan setelah semua cara lain telah digunakan tetapi tidak menemukan jawaban. Teknik pengintegralan parsial didasarkan pada pengintegralan rumus turunan hasil kali dua fungsi. Tanda bahwa penyelesaian integral parsial sudah selesai adalah tidak terdapat lagi bentuk oleh opan dibuat 28/04/2011 seorang guru matematika yang hobi menulis tiga bahasa, yaitu. Persembahan terbaik dari kelas 12 ia 8 sma negeri 2 semarang.
Contoh Soal Integral Parsial from www.syaiflash.com Turunan dalam ruang berdimensi n. Pelajaran soal rumus integral parsial wardaya college. Belajar privat dengan guru terbaik pilihan ruangguru. Adapun 2 metode tersebut dikenal dengan rumus integral parsial dan integral. Rumus integral parsial, contoh soal dan pembahasan integral parsial. Integral parsial bisa menjadi solusi jika suatu fungsi tidak dapat diselesaikan dengan metode integral substitusi. Teknik pengintegralan parsial didasarkan pada pengintegralan rumus turunan hasil kali dua fungsi. Mereka adalah metode substitusei (penggantian) dan metode parsial.
Jika y dijaga agar tetap konstan, misalkan y = y 0 maka f(x, y 0 ) adalah fungsi dengan peubah tunggal.
Untuk memudahkan penyelesaian integral parsial, dapat kita buat skema sbb : Menggunakan 6 layanan ruang guru. Sehingga dapat memilih metode yang tepat saat menyelesaikan soal. Ia adalah lawan dari turunan ada dua metode integral yang sering digunakan dalam menyelesaikan soal. Rumus integral berikut berisi kumpulan rumus integral parsial, substitusi, tak tentu, dan trigonometri akan kita pelajari bersama pada pembahasan di bawah ini. Integral parsial contoh soal dan pembahasan, integral parsial tertentu trigonometri , ln x, fungsi bilangan e, udv non pdf variasi soal step by step. Untuk menyelesaikan integral dengan integral parsial yang perlu diperhatikan adalah pemilihan u dan dv. Nah, untuk layanan ini anda tidak. Persembahan terbaik dari kelas 12 ia 8 sma negeri 2 semarang. Integral dalam bidang teknologi digunakan untuk menyelesaikan masalah luas bidang, volume ruang atau bangun, panjang dari suatu kurva, prediksi populasi, usaha, gaya dan surplus. Integral parsial (dua kali) x 2 e 2x dx? Integral parsial merupakan salah satu teknik pengintegralan jika teknik integral yang lain tidak dapat diselesaikan seperti teknik integral subtitusi. Cara yang lain itu bisa meliputi integral substitusi dan padahal integral parsial ini kerap dianggap sebagai jurus jitu pungkasan setelah semua cara lain telah digunakan tetapi tidak menemukan jawaban.
Integral parsial merupakan salah satu teknik pengintegralan jika teknik integral yang lain tidak dapat diselesaikan seperti teknik integral subtitusi. Selanjutnya kita lakukan pemisalan kembali seperti langkah awal pada integral bagian yang kedua. Kamu akan lebih mudah memahami integral trigonometri jika sebelumnya pernah belajar tentang turunan trigonometri. Ternyata, fungsi trigonometri juga bisa diintegralkan, lho. Jurusan matematika fmipa unsyiah october 13, 2011 andaikan f adalah fungsi dengan peubah x dan y.
Pengertian Dan Rumus Integral Parsial Beserta Contohnya Materi Pelajaran from 3.bp.blogspot.com Integral parsial (dua kali) x 2 e 2x dx? Mereka adalah metode substitusei (penggantian) dan metode parsial. Cara yang lain itu bisa meliputi integral substitusi dan padahal integral parsial ini kerap dianggap sebagai jurus jitu pungkasan setelah semua cara lain telah digunakan tetapi tidak menemukan jawaban. Kali ini kita akan mempelajari tentang materi integral parsial mulai dari pengertian, rumus, hingga contoh soal. Ternyata, fungsi trigonometri juga bisa diintegralkan, lho. .integral pecahan parsial pembahasan soal, integral fungsi rasional pecahan parsial part 2b faktor linear dan ada yang sama berulang, integral fungsi rasional bagian 1, integration definte indefinte multiple rule partial fraction tanx secx cotx cosecx logx hbse12th. Selanjutnya kita lakukan pemisalan kembali seperti langkah awal pada integral bagian yang kedua. Representasi parametrik dari kurva di bidang | geometri di bidang dan ruang (part 2) | kalkulus.
Cara yang lain itu bisa meliputi integral substitusi dan padahal integral parsial ini kerap dianggap sebagai jurus jitu pungkasan setelah semua cara lain telah digunakan tetapi tidak menemukan jawaban.
Integral parsial merupakan salah satu teknik pengintegralan jika teknik integral yang lain tidak dapat diselesaikan seperti teknik integral subtitusi. Integral parsial pada fungsi trigonometri. Integral fungsi aljabar dan contoh soal part 1 guru sipil. Turunan dalam ruang berdimensi n. Sehingga dapat memilih metode yang tepat saat menyelesaikan soal. Kunci pemilihan $u$ yang benar pada bentuk berikut ini beberapa soal mengenai penggunaan cara integrasi parsial yang telah disertai pembahasan. Rumus integral parsial, contoh soal dan pembahasan integral parsial. (dv) harus dipilih yang dalam integral parsial, terkadang bisa menurunkan u dan mengintegralkan dv secara berulang. Rumus integral parsial digunakan untuk soal integral yang sangat kompleks. Pelajaran soal rumus integral parsial wardaya college. Contoh soal dan pembahasan integral subsitusi brainly co id. Masih belum paham tentang integral parsial? Parsial berarti bagian, jadi integral parsial adalah integral yang kita kerjakan sebagian demi sebagian.
Berbagi
Posting Komentar
untuk "Integral Parsial Ruang Guru / Rumus Integral Parsial Dan Contoh Soal Beserta Pembahasannya - Medžiaga, formulė, pavyzdys problemos ir diskusijos elementarių matematikos."
Posting Komentar untuk "Integral Parsial Ruang Guru / Rumus Integral Parsial Dan Contoh Soal Beserta Pembahasannya - Medžiaga, formulė, pavyzdys problemos ir diskusijos elementarių matematikos."